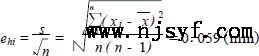
根据JJG711-1990《明渠堰槽流量计》检定规程的要求,那么明渠流量计数学模型以及不确定度分析如下:被检流量计的示值误差如下:
式中:Ei—被检流量计示值误差;

—第i次测试中,被检流量计的示值平均值,m3/s;

—第i次测试中,公式计算出的理论平均值,m3/s。
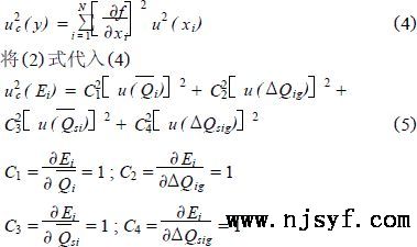
其中

是流量计的读数平均值,受到读数和液位波动的影响;

是理论计算值的平均值,受到标准液位计的测量误差和液位波动的影响。因此,可以把数学模型展开如下:
式中:ΔQig—受到读数和液位波动的影响引起的误差,m3/s;ΔQsig—受标准液位计因液位波动的影响引起的误差,m3/s;
1、方差和传播系数
y=f(x1,x2,…,xN)(3)
当全部输入量Xi是彼此独立或不相关时,合成标准不确定uc(y)由下式得出:
2、不确定度分量
2.1、被检流量计的不确定度计算
(1)喉道宽度的不确定度Xb:
自由度:γ(Xb)=n-1=4
(2)水位流量转换器的不确定度Xz:
在被检流量计最大流量的20%~100%范围内均匀选取5个流量测试点,按堰槽所用的水位流量关系式、水位流量关系曲线或水位流量数值表计算出这5个流量测试点对应的水位值Hei及相应的理论计算值Qi1。再将水位值Hei分别设定在仪表水位转换器上,得出仪表的流量值Q2,从而计算得到水位转换不确定度Xzi,取其最大绝对值作为流量计水位转换不确定度Xz。
自由度:不可靠性10%,
3、流量系数的不确定度Xc:
流量计流量系数的限制引起的误差约为计量终端排放系统误差的1/10,即4%×0.1=0.4%,均匀分布,即:
自由度:不可靠性10%,
4、水头测量的不确定度Xh:
①水头零点的不确定度值eh0:
水准仪和水准尺系统误差≤±0.8mm,正态分布,则:
自由度:γ(eh0)=∞
②测量水头的不确定度值ehi:
根据公式:
自由度:不可靠性10%,
水头测量的不确定度Xh:
被检流量计的不确定度Qi:
(其中:r=1,φ=1.5)
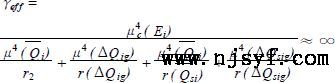
有效自由度:
4.2、u(ΔQig)的确定:
被检流量计受到读数和液位波动的影响引起的误差约为计量终端排放系统误差的1/10,即5%×0.1=0.5%,均匀分布,即:
自由度:不可靠性10%,
4.3、

的确定:

是理论计算值的平均值,受标准液位计误差的影响,液位计的最大允许误差为0.5%,正态分布,即:
自由度:

=∞
4.4、u(ΔQsig)的确定:
标准液位计受到读数和液位波动的影响引起的误差约为计量终端排放系统误差的1/10,即0.5%×0.1=0.05%,均匀分布,即:
自由度:不可靠性10%,
5、合成标准不确定度
6、有效自由度
7、扩展不确定度
置信概率95%,取γeff=∞,查表得kp=1.960
故扩展不确定度为:
U0.95=kp×uc=1.960×0.58%=1.14%
因此,本文主要参照了JJG711-1990《明渠堰槽流量计》检定规程的内容,对明渠流量计测量中的几个大项进行了分析。但是根据实际的情况而言,特别是标准型和大型明渠流量计中由于建设原因造成喉道段、进口段和出口段的尺寸有部分偏差,那么这些偏差对明渠流量计的计量误差有多大影响,是否具有讨论的价值。